vor up zurück Inhalt

   
Bestimmung von Kontaktwinkeln

Mit spektroskopischen Methoden zur Analyse der Oberflächenchemie von Feststoffen erhält man Informationen über ein mehr oder weniger großes Oberflächenvolumen. Für physikalisch-chemische Wechselwirkungen ist jedoch die zweidimensionale Oberfläche entscheidend. Diese kann mit Hilfe von Benetzungsversuchen charakterisiert werden, entweder durch Verwendung verschiedener Lösungsmittel oder, wie in vorangegangenen Arbeiten vorgeschlagen, durch Verwendung von wäßrigen Lösungen mit pH-Werten von 2-13 [6]. Solche Lösungen haben dieselbe Oberflächenspannung wie Wasser [52], so daß vom pH-Wert abhängige Kontakwinkel allein auf unterschiedliche Säure-Base-Wechselwirkungen zurückgeführt werden können [6-8].

Zur Bestimmung der Kontaktwinkel wurde eine Mikrowaage S3-DV (Wägegenauigkeit bis 1*10-7g) der Firma Sartorius, Göttingen verwendet. Monofilamente der Faser wurden auf ein 5*10mm großes Papierplättchen aufgeklebt. Das Plättchen wurde in den Meßhaken der Mikrowaage so eingehängt, daß die Monofilamentachse senkrecht nach unten zeigte. Die darunter befindliche Meßflüssigkeit wurde mittels eines Hebezylinders mit einer Geschwindigkeit von 1mm/min zunächst auf- und danach abwärts bewegt.

Beim Eintauchen des Monofilamentes in die Meßflüssigkeit tritt infolge der Benetzung der Faseroberfläche eine Gewichtszunahme auf. Wird die Faser wieder aus der Meßflüssigkeit herausgezogen, erfolgt eine weitere Gewichtszunahme. Diese Gewichtsänderungen sind der Anspring- bzw. Abreißkraft proportional [6, 10, 63, 64].

Aus dem Verhältnis von Anspring- und Abreißkraft läßt sich der Kontaktwinkel q berechnen (Gleichung (1)):

Gleichung 1 (1)

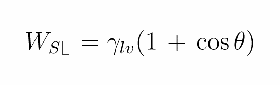
Die Adhäsionsarbeit WSL ergibt sich nach der Young-Dupre-Gleichung aus dem Produkt der Oberflächenspannung der Meßflüssigkeit glv und dem Kosinus des Kontaktwinkels (Gleichung (2)):

Gleichung 2 (2)

Die so erhaltene Adhäsionsarbeit WSL setzt sich aus zwei verschiedenen Anteilen, dem dispersiven Anteil WDSL und dem Säure-Base-Anteil WABSL, zusammen (Gleichung (3):

Gleichung 3 (3)

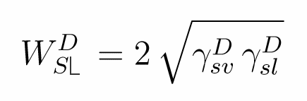
Der dispersive Anteil der Adhäsionsarbeit läßt sich aus dem geometrischen Mittel der dispersiven Anteile der freien Oberflächenenergien des Festkörpers g Dsv und der Meßflüssigkeit g Dsl nach Gleichung (4) berechnen [63, 64].

Gleichung 4 (4)

Wenn der Säure-Base-Anteil der Adhäsionsarbeit vernachlässigbar klein ist, entspricht die Adhäsionsarbeit dem dispersiven Anteil (Gleichung (5)):

Gleichung 5 (5)

Zur Bestimmung des Säure-Base-Anteils WABSL muß also der dipersive Anteil WDSL bekannt sein. Dieser kann durch Verwendung eines unpolaren Lösungsmittels, wie z.B. Diiodmethan, nach Gleichung(5) bestimmt werden.


vor up zurück Inhalt