vor up zurück Inhalt

Kontaktwinkelmessungen

Mit den meisten spektroskopischen Verfahren erhält man, abhängig von der Eindring- und Austrittstiefe des verwendeten Strahls, Informationen über ein mehr oder weniger großes Oberflächenvolumen. Für Adhäsionsphenomäne ist jedoch die zweidimensionale Oberfläche maßgebend. Funktionelle Gruppen auf dieser zweidimensionalen Oberfläche lassen sich durch die Messung von Kontaktwinkeln mit verschiedenen Lösungsmitteln, oder, wie in der vorliegenden Arbeit unter Verwendung von wäßrigen Lösungen mit pH-Werten von 2-13, ermitteln. Bei dieser Vorgehensweise werden Brønsted-Säure/Base-Wechselwirkungen erfaßt, durch die man Rückschlüsse auf die funktionellen Gruppen der Faseroberfläche ziehen kann [6-8,10,11,63,78,79].

Die Oberfläche der verwendeten P120-Faser sollte aufgrund der großen graphitischen Bereiche eine vernachlässigbare Anzahl an sauerstoffhaltigen Oberflächengruppen besitzen. Dies wurde dadurch bestätigt, daß die Faseroberfläche von Wasser oder wäßrigen Lösungen unterschiedlicher pH-Werte (2-11) nicht benetzt wird. Bei einem pH-Wert von 13 wurde dagegen überraschenderweise ein Kontaktwinkel von 71° bestimmt; aus diesem ergibt sich eine Adhäsionsarbeit von 96,5mJ/m2 (± 11,1%). Dieses Ergebnis läßt auf geringe Mengen an Hydroxylgruppen auf der Faseroberfläche schließen, was mittels Electron Spectroscopy for Chemical Analysis bestätigt wurde. Die Adhäsionsarbeit der P120-Faser wird also überwiegend durch dispersive Lifshitz/van der Waals-Wechselwirkungen WDSL bestimmt. Dieser Anteil wurde mit einer annähernd unpolaren Meßflüssigkeit (Diiodmethan gL = 50,76mJ/m2, gDL = 48,96mJ/m2 [52]) bestimmt; der polare Anteil von g pL = 1,8mN/m kann vernachlässigt werden. Für den dispersiven Anteil der Adhäsionsarbeit der P120-Faser wurde ein g Dsl-Wert von 50,81mN/m ± 3,02% gemessen. Aus diesem Wert kann nach Gleichung (4) der Lifshitz/van der Waals-Wechselwirkungsanteil der Adhäsionsarbeit von Wasser berechnet werden [10]; er beträgt 66,6mJ/m2 ± 1,5%.

Die P120*-Faser zeigt ein ähnliches Benetzungsverhalten wie die P120-Faser; allerdings erfolgt auch bei einem pH-Wert von 13 keine Benetzung. Das deutet darauf hin, daß der nicht-dispersive Anteil der Wechselwirkungen der P120-Faser auf Verunreinigungen der Faseroberfläche zurückzuführen ist, was durch Electron Spectroscopy for Chemical Analysis bestätigt wird (siehe Kapitel 3.1). Der mit Diiodmethan für die P120*-Faser bestimmte Wert für die Adhäsionsarbeit ist mit dem der P120-Faser identisch.

Alle Meßwerte in den nachfolgenden Diagrammen sind zur besseren Übersicht miteinander verbunden, die Stufen zwischen den betreffenden pH-Werten sind eingezeichnet. Die genauen Absolutwerte der Lage dieser Stufen kann jedoch mit dem verwendeten Meßaufbau nicht bestimmt werden, da der Meßfehler zu groß ist. Aufgrund der Säure-Base-Theorie erfolgt der Übergang zwischen der protonierten und deprotonierten Form jedoch in einem sehr engen pH-Bereich, weshalb die Stufen steil eingezeichnet werden müssen.

PHWSL
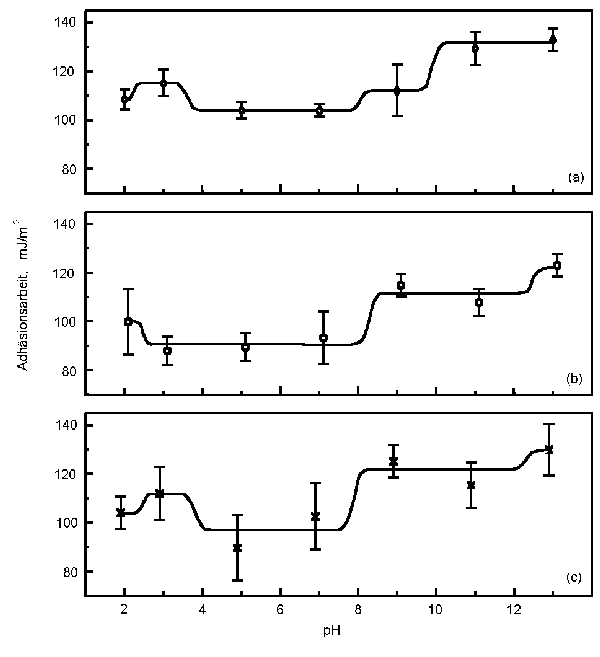
Abbildung 36: Adhäsionsarbeit in Abhängigkeit vom pH-Wert für die mit 0,01mol/l Ferrocen in NMP imprägnierte und unterschiedlich lange bei 450°C in Sauerstoff oxidierte P120*-Faser; (a): 0,5h; (b): 5h; (c): 20h.

Nach einer katalysierten Oxidation der P120*-Faser mit Hilfe von Ferrocen (0,01mol/l Ferrocen in NMP) bei 450°C ist die Faser benetzbar. Die Adhäsionsarbeiten in Abhängigkeit vom pH-Wert nach Oxidationszeiten von 0,5h, 5h und 20h sind in Abbildung 36 wiedergegeben.

Es läßt sich folgendes beobachten: Zwischen den pH-Werten 7 und 9 steigt die Adhäsionsarbeit nach allen Behandlungszeiten an; die Größe der Stufe nimmt jedoch mit zunehmender Oxidationsdauer zu. Ein weiterer Anstieg der Adhäsionsarbeit läßt sich zwischen den pH-Werten 11 und 13 (Oxidationszeiten von 5h und 20h) bzw. bei pH-Werten von 9 bis 11 (Oxidationszeit von 0,5h) erkennen. Weiterhin ist zu beobachten, daß der Anstieg der Adhäsionsarbeit im Bereich dieser pH-Werte mit abnehmender Oxidationszeit zunimmt, womit nach einer Oxidationszeit von 0,5h die bereits erwähnte Verschiebung der Stufe zu kleineren pH-Werten verbunden ist. Aus diesen Ergebnissen kann man schließen, daß auf den verschieden lang behandelten Fasern ähnliche Oberflächengruppen, vermutlich jedoch in unterschiedlicher Konzentration vorliegen. Nach Zielke und Krekel [6-8,10,11,18,63,78,79] sollte die Stufe zwischen den pH-Werten 7 und 9 schwach sauren carboxylischen Gruppen und Lactolen, die Stufe zwischen den pH-Werten 9 und 11 stabilisierten Carbonatgruppen, phenolischen Hydroxylgruppen und Chinonen, und die Stufe zwischen den pH-Werten 11 und 13 Hydroxylgruppen zugeordnet werden.

Eine Zusammenfassung der Ergebnisse ist in Abbildung 37 wiedergegeben. Sie zeigt die maximale Adhäsionsarbeit WSL, max. bei pH=13 in Abhängigkeit von der Zeit. Man erkennt zwischen einer Reaktionszeit von 0,25h und 0,5h einen starken Anstieg der Adhäsionsarbeit von 111,5mJ/m2 auf 133,1mJ/m2. Eine Erhöhung der Oxidaionszeit führt zu einer Abnahme der Adhäsionsarbeit bis zu einem Minimum von 123,0mJ/m2 nach einer Reaktionszeit von 5h. Nach einer Reaktionszeit von 20h ist wieder ein Anstieg der Adhäsionsarbeit auf einen Wert von 130,0mJ/m2 feststellbar.

Abbildung 37
Abbildung 37: Maximale Adhäsionsarbeit bei pH=13 in Abhängigkeit von der Zeit für die mit 0,01mol/l Ferrocen in NMP imprägnierte und unterschiedlich lang bei 450°C in Sauerstoff oxidierte P120*-Faser.


vor up zurück Inhalt