up zurück Inhalt

   
Fehlerbetrachtungen

Neben systematischen Fehlern, die meistens vermeidbar oder korrigierbar sind, treten auch zufällige Fehler auf. Diese sind zumeist nicht vermeidbar und unterliegen den Gesetzen der Statistik [80]. Deshalb kann ein Meßwert nur mit endlicher Genauigkeit bestimmt werden.

Die Summe der Werte einer Meßgröße, die bei mehrfacher Wiederholung eines Experimentes unter gleichen Versuchsbedingungen erhalten wird, bezeichnet man als Stichprobe vom Umfang n aus der Grundgesamtheit aller möglichen Meßwerte. Dies gilt auch für Meßgrößen, die an mehreren Meßstellen einer Probe erhalten wurden. Eine Stichprobe gilt dann als repräsentativ, wenn sich bei der Erhöhung der Anzahl der Meßwerte keine Änderung der Häufigkeitsverteilung mehr feststellen läßt [80,81].

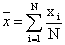
Den wahrscheinlichsten Wert erhält man durch Bildung des arithmetischen Mittels aus N Messungen (Gleichung (9)):

  (9)

Zu diesem Mittelwert wird üblicherweise der mittlere Fehler m der Einzelmessungen angegeben (Gleichung (10)):

  (10)

Weiterhin wird für eine Serie von Meßwerten der mittlere Fehler mx des Mittelwertes angegeben, der aus dem mittleren Fehler der Einzelmessungen berechnet werden kann (Gleichung (11)):

  (11)

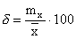
Dieser Fehler wird auch als absoluter Fehler bezeichnet und hat die gleiche Dimension wie die Meßgröße selbst. In der Praxis wird der absolute Fehler meistens noch durch den Mittelwert dividiert, wodurch man den relativen Fehler d erhält (Gleichung (12)):

  (12)

Wenn die Streuung der Meßwerte um den Mittelwert zu groß ist, reicht die Angabe des Mittelwertes und des absoluten Fehlers oft nicht mehr aus. Untersucht man z. B. die Korngrößenverteilung eines Pulvers in Abhängigkeit von der Masse oder das Versagensverhalten sprödbrechender Körper, so ist zu erkennen, daß eine Angabe des Mittelwertes das System nur unzureichend beschreibt.

Für solche Probleme verwendet man Verteilungsfunktionen. Eine häufig eingesetzte Verteilungsfunktion ist die Normalverteilung nach Gauß (Gleichung (13)), der eine symmetrische Verteilung der Meßwerte x um den Mittelwert zugrunde liegt.

  (13)

Dabei bedeutet P die Häufigkeit des Wertes x und s die Standardabweichung der Verteilung. In der Technik sind die Verteilungen oft unsymmetrisch. [67,81-84]. Eine Möglichkeit zur Beschreibung unsymmetrischer Verteilungen stellt die logarithmische Normalverteilung dar [81-84]. Die Häufigkeitsverteilung erhält man, wenn man die Häufigkeit, mit der ein Wert auftritt, in Abhängigkeit vom Meßwert aufträgt [81-84]. Meistens wird diese Funktion auf den Gesamtwert normiert, so daß man eine relative Häufigkeitsverteilung erhält. Bei einer großen Anzahl von Meßwerten ist die relative Häufigkeitsverteilung oft noch nicht aussagekräftig, so daß man eine Unterteilung in Klassen vornehmen muß [81-84]. Zur Klassenbildung wird das Gesamtintervall aller Meßwerte in kleinere Intervalle aufgeteilt und man erhält die absolute bzw. relative Klassenhäufigkeit. Addiert man jetzt die einzelnen relativen Häufigkeiten jeweils bis zu einem bestimmten Stichprobenwert, so erhält man die relative Summenhäufigkeit [81-84]. Trägt man diese Summenhäufigkeit gegen die Stichprobenwerte bzw. gegen die Klassenmitten auf, so erhält man eine treppenartige Summenhäufigkeitsfunktion [81-84]. Im Rahmen der vorliegenden Arbeit wurden Faserfestigkeiten und Spannungsabstände lB (siehe Kapitel 2.3.3 bzw. 2.2.3) bestimmt. Kohlenstoffasern versagen durch Sprödbruch. Hierfür stellte Weibull auf Bais der ,,weakest link theory`` einen empirischen Ansatz zur Auswertung von Festigkeiten auf. Er beruht auf der Tatsache, daß schon die erste auftretende Fehlstelle zum Versagen des Körpers führen kann [66, 67]. Die vereinfachte, normierte, zweiparametrige Verteilungsfunktion nach Weibull lautet:

  (14)

In Gleichung 14 ist die Versagenswahrscheinlichkeit Pf (%) als Funktion der Schwellspannung su (MPa), der charakterischen Festigkeit s0 (MPa) und der Spannung (MPa) dargestellt. Zur Auswertung dieser Häufigkeitsverteilung wird oft das grafische Verfahren der linearen Regression angewendet. Dazu wird die Gleichung (14) durch doppeltes Logarithmieren linearisiert; man erhält Gleichung (15).

  (15)

Trägt man nun die aufsteigend sortierten Werte für gegen ln(s) auf, so kann man durch lineare Regression die Steigung m und s0 bestimmen. Die Steigung wird auch als Fehlerstreuungsparameter bezeichnet, während s0 die Breite eines Intervalls angibt, indem 63,2% aller Meßwerte gefunden wurden. s0 wird an der Stelle Pf = 1 - 1/e = 0,632, an der und somit s0 = s gilt, berechnet. In der Weibullstatistik gibt die charakteristische Festigkeit s0 die Spannung an, bei der die Versagenswahrscheinlichkeit eines sprödbrechenden Werkstoffs 63,2% beträgt.

Die Bestimmung der Versagenswahrscheinlichkeit Pf kann nach mehreren Verfahren erfolgen [85-89]. Als geeignet für die Auswertung nach Weibull hat sich die Berechnung aus dem Quotienten der jeweiligen Messung (n) - 0,5 und der Anzahl der Gesamtmessungen (N) erwiesen [67, 89]:

(16)

Analog zur Auswertung des Versagensverhaltens von sprödbrechenden Körpern kann man eine statistische Auswertung der aus den Spannungabständen erhaltenen lB-Werte mit der gleichen Exponentialfunktion durchführen (Gleichungen (17) und (18)).

(17)

(18)

Als Ergebnis erhält man einen l'B-Wert, der die Wahrscheinlichkeit des Auftretens eines Spannungspunktes im Wertebereich von 0-63,2% wiedergibt und einen Fehlerstreuungsparameter k, der Aussagen über die Streuung der Meßwerte um den l'B-Wert erlaubt. Der l'B-Wert ist ein Maß für die Faser-Matrix-Haftung. Zur Bestimmung der Reproduzierbarkeit der l'B-Werte wurden drei Messungen an ein und derselben Probe mit jeweils bis zu 150 Meßwerten durchgeführt. Diese Messungen wurden an mehr als drei Proben, die unter den gleichen Versuchsbedingungen hergestellt wurden, durchgeführt. Die maximale Abweichung der erhaltenen Werte betrug 3,5%.

Bei der Weibullauswertung entspricht eine Erhöhung von s0 einer Verbesserung der Festigkeit des untersuchten Materials, während eine Erhöhung von l'B eine Abnahme der Faser-Matrix-Haftung bedeutet.


up zurück Inhalt